ОТВЕТ на задание № 395 Учебник по Алгебре 7 класс Мерзляк Алгоритм успеха Базовый уровень
Условия
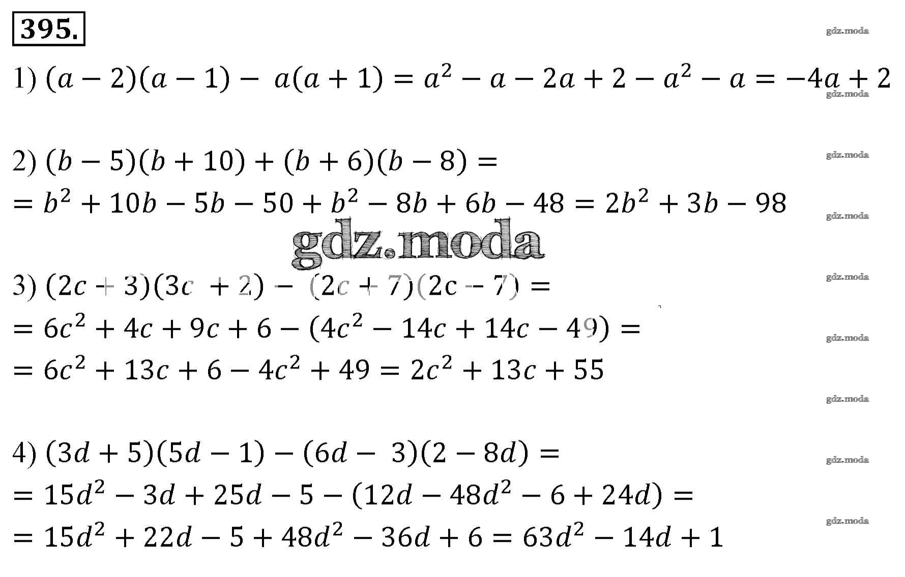
упражнение / 395

Решебник №1
упражнение / 395


Решебник №2
упражнение / 395

Решебник №4
упражнение / 395

Решебник №5
упражнение / 395

Все ГДЗ по Алгебре 7 класс Алгоритм успеха