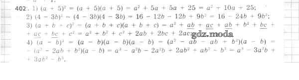
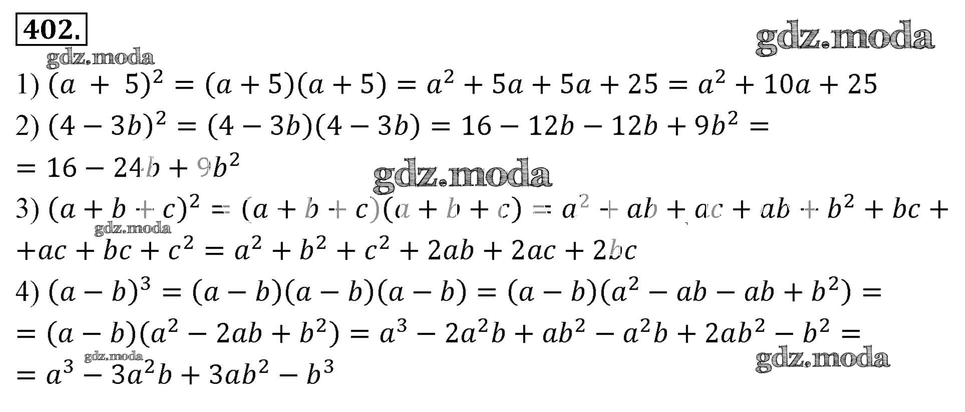
ОТВЕТ на задание № 402 Учебник по Алгебре 7 класс Мерзляк Алгоритм успеха Базовый уровень
Условия
упражнение / 402

Решебник №1
упражнение / 402


Решебник №2
упражнение / 402

Решебник №4
упражнение / 402

Решебник №5
упражнение / 402

Все ГДЗ по Алгебре 7 класс Алгоритм успеха