ОТВЕТ на задание № 403 Учебник по Алгебре 7 класс Мерзляк Алгоритм успеха Базовый уровень
Условия
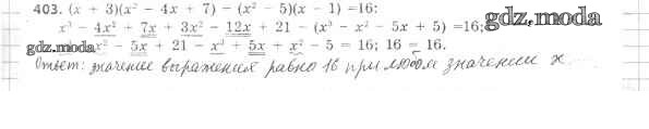
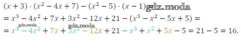
упражнение / 403

Решебник №1
упражнение / 403

Решебник №2
упражнение / 403

Решебник №3
упражнение / 403

Решебник №4
упражнение / 403

Решебник №5
упражнение / 403

Все ГДЗ по Алгебре 7 класс Алгоритм успеха