ОТВЕТ на задание № 412 Учебник по Алгебре 7 класс Мерзляк Алгоритм успеха Базовый уровень
Условия
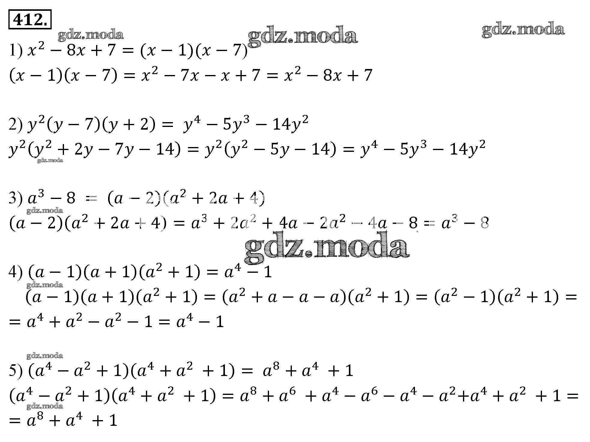
упражнение / 412

Решебник №1
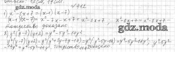
упражнение / 412


Решебник №2
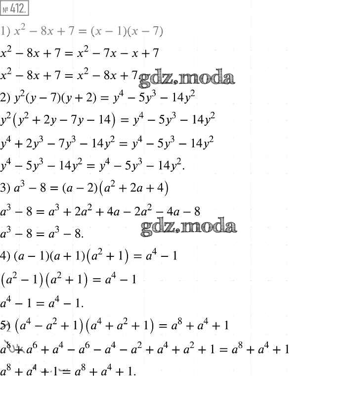
упражнение / 412

Решебник №3
упражнение / 412

Решебник №4
упражнение / 412


Решебник №5
упражнение / 412

Все ГДЗ по Алгебре 7 класс Алгоритм успеха