ОТВЕТ на задание № 413 Учебник по Алгебре 7 класс Мерзляк Алгоритм успеха Базовый уровень
Условия
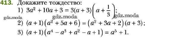
упражнение / 413

Решебник №1
упражнение / 413


Решебник №2
упражнение / 413

Решебник №3
упражнение / 413

Решебник №4
упражнение / 413

Решебник №5
упражнение / 413

Все ГДЗ по Алгебре 7 класс Алгоритм успеха