ОТВЕТ на задание № 443 Учебник по Алгебре 7 класс Мерзляк Алгоритм успеха Базовый уровень
Условия
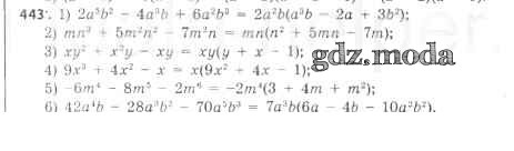
упражнение / 443

Решебник №1
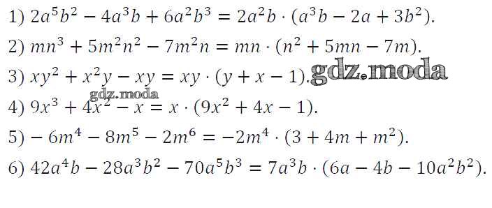
упражнение / 443

Решебник №2
упражнение / 443

Решебник №4
упражнение / 443

Решебник №5
упражнение / 443

Все ГДЗ по Алгебре 7 класс Алгоритм успеха