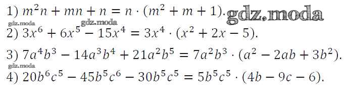
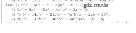
ОТВЕТ на задание № 444 Учебник по Алгебре 7 класс Мерзляк Алгоритм успеха Базовый уровень
Условия
упражнение / 444

Решебник №1
упражнение / 444

Решебник №2
упражнение / 444

Решебник №4
упражнение / 444

Решебник №5
упражнение / 444

Все ГДЗ по Алгебре 7 класс Алгоритм успеха