ОТВЕТ на задание № 454 Учебник по Алгебре 7 класс Мерзляк Алгоритм успеха Базовый уровень
Условия
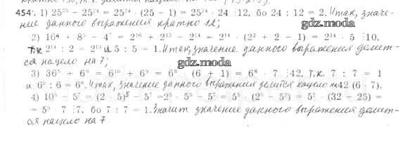
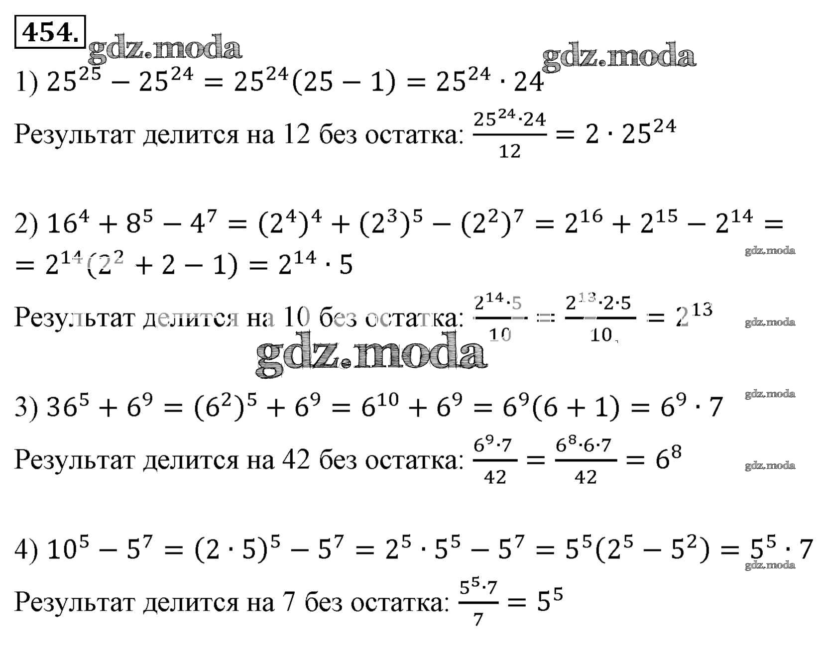
упражнение / 454

Решебник №1
упражнение / 454


Решебник №2
упражнение / 454

Решебник №3
упражнение / 454

Решебник №4
упражнение / 454

Решебник №5
упражнение / 454

Все ГДЗ по Алгебре 7 класс Алгоритм успеха