ОТВЕТ на задание № 455 Учебник по Алгебре 7 класс Мерзляк Алгоритм успеха Базовый уровень
Условия
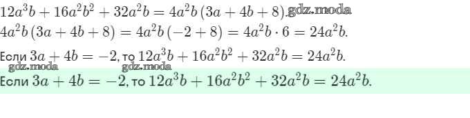
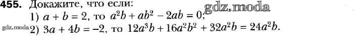
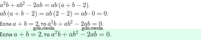
упражнение / 455

Решебник №1
упражнение / 455

Решебник №2
упражнение / 455

Решебник №4
упражнение / 455

Решебник №5
упражнение / 455

Все ГДЗ по Алгебре 7 класс Алгоритм успеха