ОТВЕТ на задание № 456 Учебник по Алгебре 7 класс Мерзляк Алгоритм успеха Базовый уровень
Условия
упражнение / 456

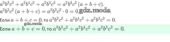
Решебник №1
упражнение / 456

Решебник №2
упражнение / 456

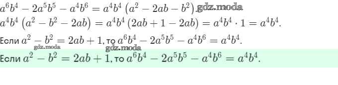
Решебник №4
упражнение / 456

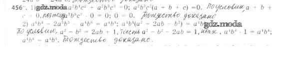
Решебник №5
упражнение / 456

Все ГДЗ по Алгебре 7 класс Алгоритм успеха