ОТВЕТ на задание № 457 Учебник по Алгебре 7 класс Мерзляк Алгоритм успеха Базовый уровень
Условия
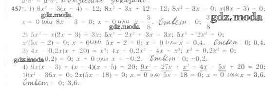
упражнение / 457

Решебник №1
упражнение / 457


Решебник №2
упражнение / 457

Решебник №4
упражнение / 457

Решебник №5
упражнение / 457

Все ГДЗ по Алгебре 7 класс Алгоритм успеха