ОТВЕТ на задание № 458 Учебник по Алгебре 7 класс Мерзляк Алгоритм успеха Базовый уровень
Условия
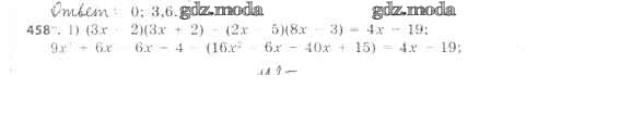
упражнение / 458

Решебник №1
упражнение / 458

Решебник №2
упражнение / 458

Решебник №4
упражнение / 458


Решебник №5
упражнение / 458

Все ГДЗ по Алгебре 7 класс Алгоритм успеха