ОТВЕТ на задание № 460 Учебник по Алгебре 7 класс Мерзляк Алгоритм успеха Базовый уровень
Условия
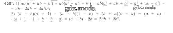
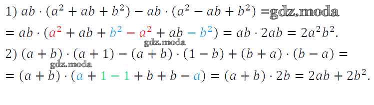
упражнение / 460

Решебник №1
упражнение / 460

Решебник №2
упражнение / 460

Решебник №4
упражнение / 460

Решебник №5
упражнение / 460

Все ГДЗ по Алгебре 7 класс Алгоритм успеха