ОТВЕТ на задание № 461 Учебник по Алгебре 7 класс Мерзляк Алгоритм успеха Базовый уровень
Условия
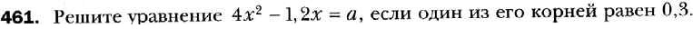
упражнение / 461

Решебник №1
упражнение / 461

Решебник №2
упражнение / 461

Решебник №3
упражнение / 461

Решебник №4
упражнение / 461

Решебник №5
упражнение / 461

Все ГДЗ по Алгебре 7 класс Алгоритм успеха