ОТВЕТ на задание № 462 Учебник по Алгебре 7 класс Мерзляк Алгоритм успеха Базовый уровень
Условия
упражнение / 462

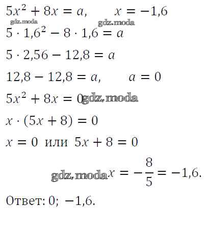
Решебник №1
упражнение / 462

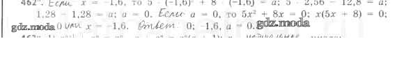
Решебник №2
упражнение / 462

Решебник №4
упражнение / 462

Решебник №5
упражнение / 462

Все ГДЗ по Алгебре 7 класс Алгоритм успеха