ОТВЕТ на задание № 480 Учебник по Алгебре 7 класс Мерзляк Алгоритм успеха Базовый уровень
Условия
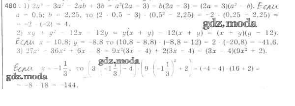
упражнение / 480

Решебник №1
упражнение / 480


Решебник №2
упражнение / 480

Решебник №4
упражнение / 480

Решебник №5
упражнение / 480

Все ГДЗ по Алгебре 7 класс Алгоритм успеха