ОТВЕТ на задание № 481 Учебник по Алгебре 7 класс Мерзляк Алгоритм успеха Базовый уровень
Условия
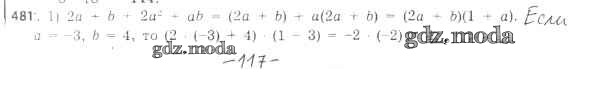
упражнение / 481

Решебник №1
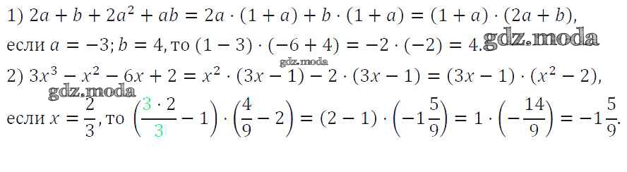
упражнение / 481


Решебник №2
упражнение / 481

Решебник №3
упражнение / 481

Решебник №4
упражнение / 481


Решебник №5
упражнение / 481

Все ГДЗ по Алгебре 7 класс Алгоритм успеха