ОТВЕТ на задание № 485 Учебник по Алгебре 7 класс Мерзляк Алгоритм успеха Базовый уровень
Условия
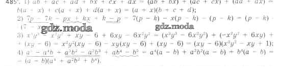
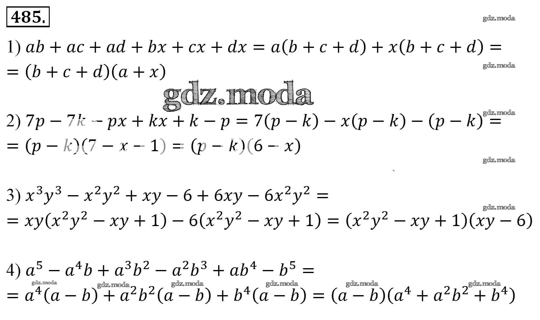
упражнение / 485

Решебник №1
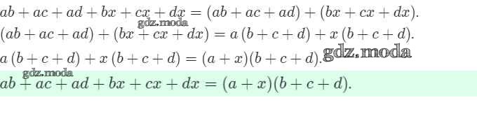
упражнение / 485


Решебник №2
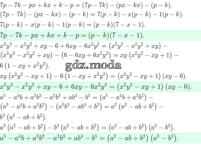
упражнение / 485

Решебник №4
упражнение / 485

Решебник №5
упражнение / 485

Все ГДЗ по Алгебре 7 класс Алгоритм успеха