ОТВЕТ на задание № 486 Учебник по Алгебре 7 класс Мерзляк Алгоритм успеха Базовый уровень
Условия
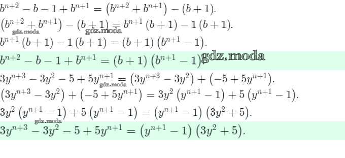
упражнение / 486

Решебник №1
упражнение / 486

Решебник №2
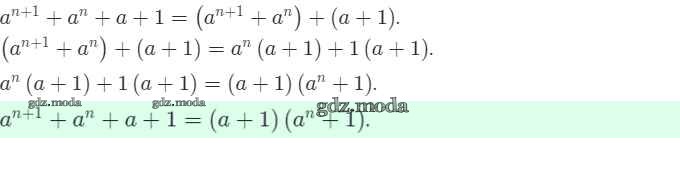
упражнение / 486

Решебник №4
упражнение / 486

Решебник №5
упражнение / 486

Все ГДЗ по Алгебре 7 класс Алгоритм успеха