ОТВЕТ на задание № 502 Учебник по Алгебре 7 класс Мерзляк Алгоритм успеха Базовый уровень
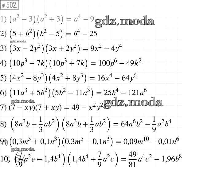
Условия
упражнение / 502

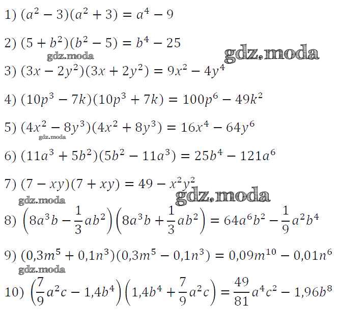
Решебник №1
упражнение / 502


Решебник №2
упражнение / 502

Решебник №3
упражнение / 502

Решебник №5
упражнение / 502

Все ГДЗ по Алгебре 7 класс Алгоритм успеха