ОТВЕТ на задание № 503 Учебник по Алгебре 7 класс Мерзляк Алгоритм успеха Базовый уровень
Условия
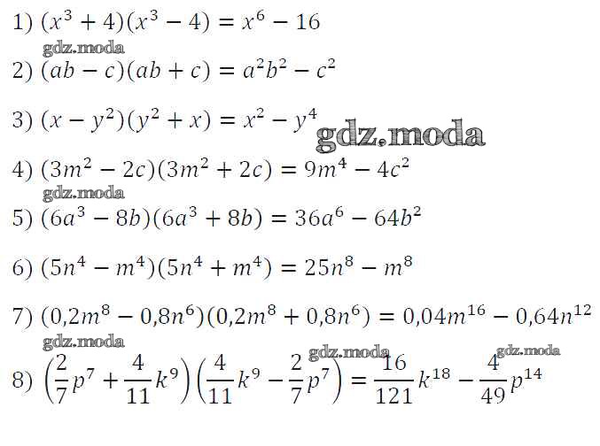
упражнение / 503

Решебник №1
упражнение / 503


Решебник №2
упражнение / 503

Решебник №3
упражнение / 503

Решебник №5
упражнение / 503

Все ГДЗ по Алгебре 7 класс Алгоритм успеха