ОТВЕТ на задание № 509 Учебник по Алгебре 7 класс Мерзляк Алгоритм успеха Базовый уровень
Условия
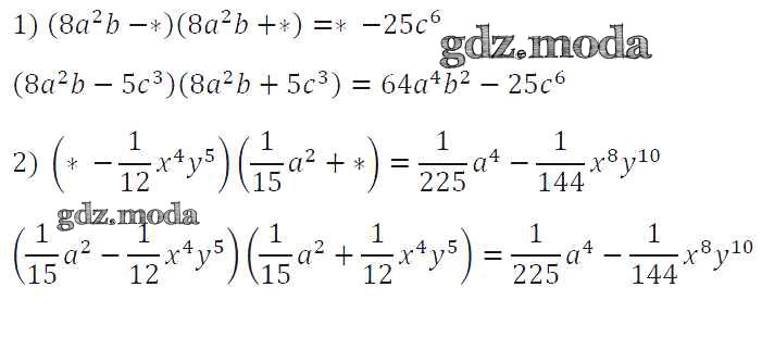
упражнение / 509

Решебник №1
упражнение / 509

Решебник №2
упражнение / 509

Решебник №3
упражнение / 509

Решебник №5
упражнение / 509

Все ГДЗ по Алгебре 7 класс Алгоритм успеха