ОТВЕТ на задание № 510 Учебник по Алгебре 7 класс Мерзляк Алгоритм успеха Базовый уровень
Условия
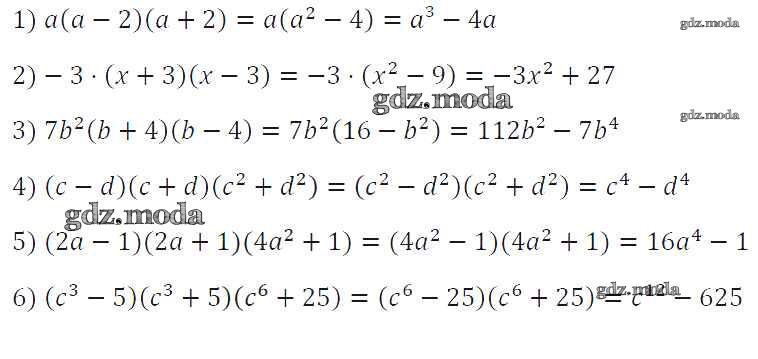
упражнение / 510

Решебник №1
упражнение / 510

Решебник №2
упражнение / 510

Решебник №3
упражнение / 510

Решебник №5
упражнение / 510

Все ГДЗ по Алгебре 7 класс Алгоритм успеха