ОТВЕТ на задание № 512 Учебник по Алгебре 7 класс Мерзляк Алгоритм успеха Базовый уровень
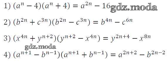
Условия
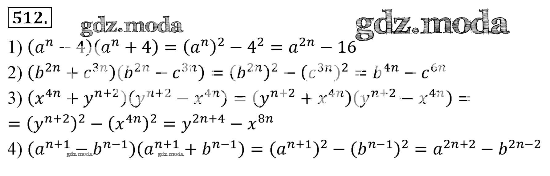
упражнение / 512

Решебник №1
упражнение / 512

Решебник №2
упражнение / 512

Решебник №3
упражнение / 512

Решебник №5
упражнение / 512

Все ГДЗ по Алгебре 7 класс Алгоритм успеха