ОТВЕТ на задание № 513 Учебник по Алгебре 7 класс Мерзляк Алгоритм успеха Базовый уровень
Условия
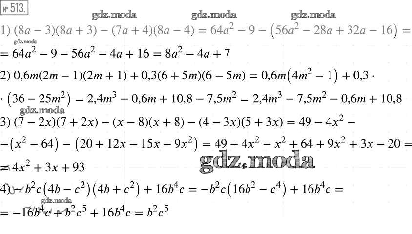
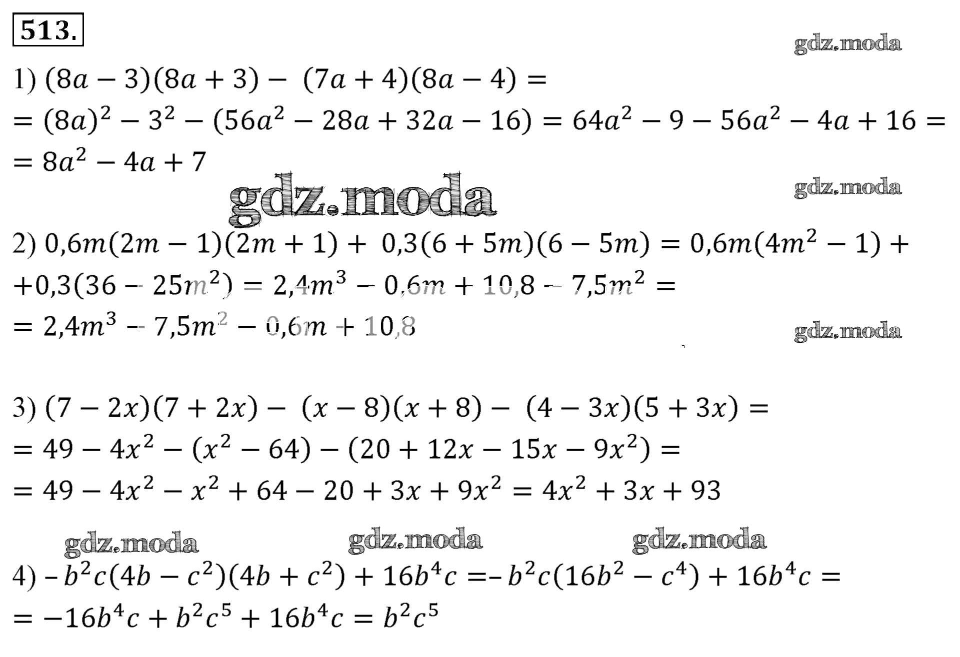
упражнение / 513

Решебник №1
упражнение / 513


Решебник №2
упражнение / 513

Решебник №3
упражнение / 513

Решебник №5
упражнение / 513

Все ГДЗ по Алгебре 7 класс Алгоритм успеха