ОТВЕТ на задание № 514 Учебник по Алгебре 7 класс Мерзляк Алгоритм успеха Базовый уровень
Условия
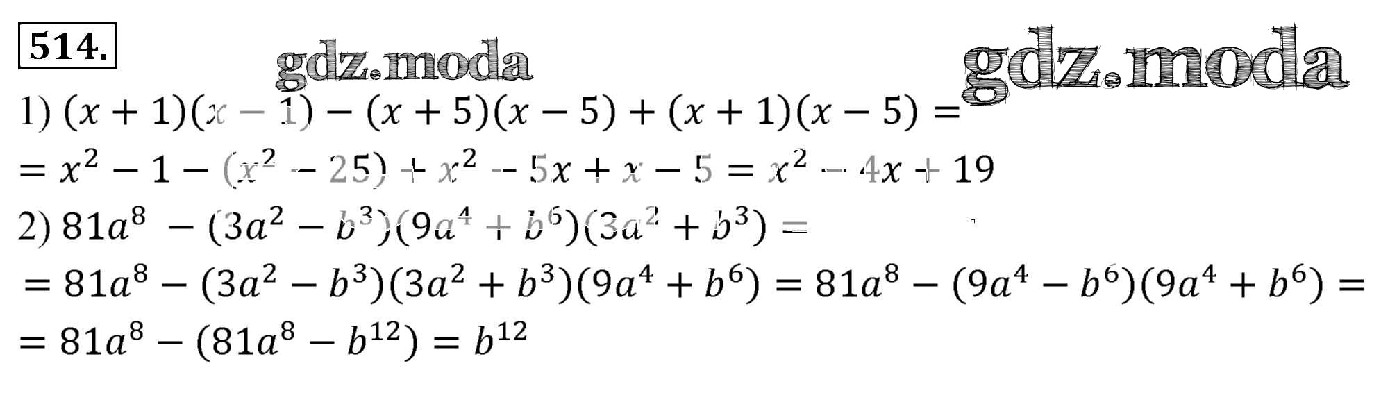
упражнение / 514

Решебник №1
упражнение / 514

Решебник №2
упражнение / 514

Решебник №3
упражнение / 514

Решебник №5
упражнение / 514

Все ГДЗ по Алгебре 7 класс Алгоритм успеха