ОТВЕТ на задание № 53 Учебник по Алгебре 7 класс Мерзляк Алгоритм успеха Базовый уровень
Условия
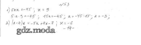
упражнение / 53

Решебник №1
упражнение / 53

Решебник №2
упражнение / 53

Решебник №3
упражнение / 53

Решебник №4
упражнение / 53


Решебник №5
упражнение / 53

Все ГДЗ по Алгебре 7 класс Алгоритм успеха