ОТВЕТ на задание № 54 Учебник по Алгебре 7 класс Мерзляк Алгоритм успеха Базовый уровень
Условия
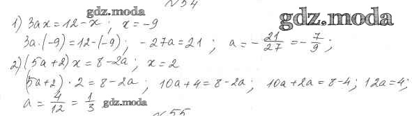
упражнение / 54

Решебник №1
упражнение / 54

Решебник №2
упражнение / 54

Решебник №3
упражнение / 54

Решебник №4
упражнение / 54

Решебник №5
упражнение / 54

Все ГДЗ по Алгебре 7 класс Алгоритм успеха