ОТВЕТ на задание № 571 Учебник по Алгебре 7 класс Мерзляк Алгоритм успеха Базовый уровень
Условия
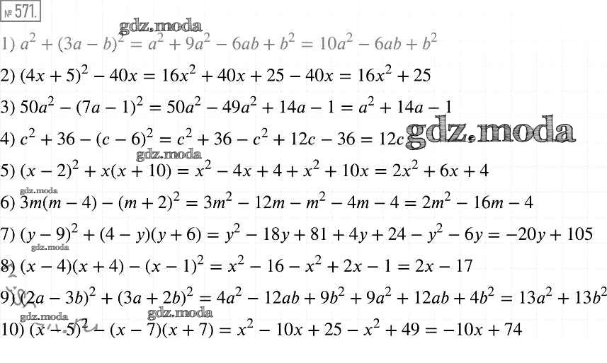
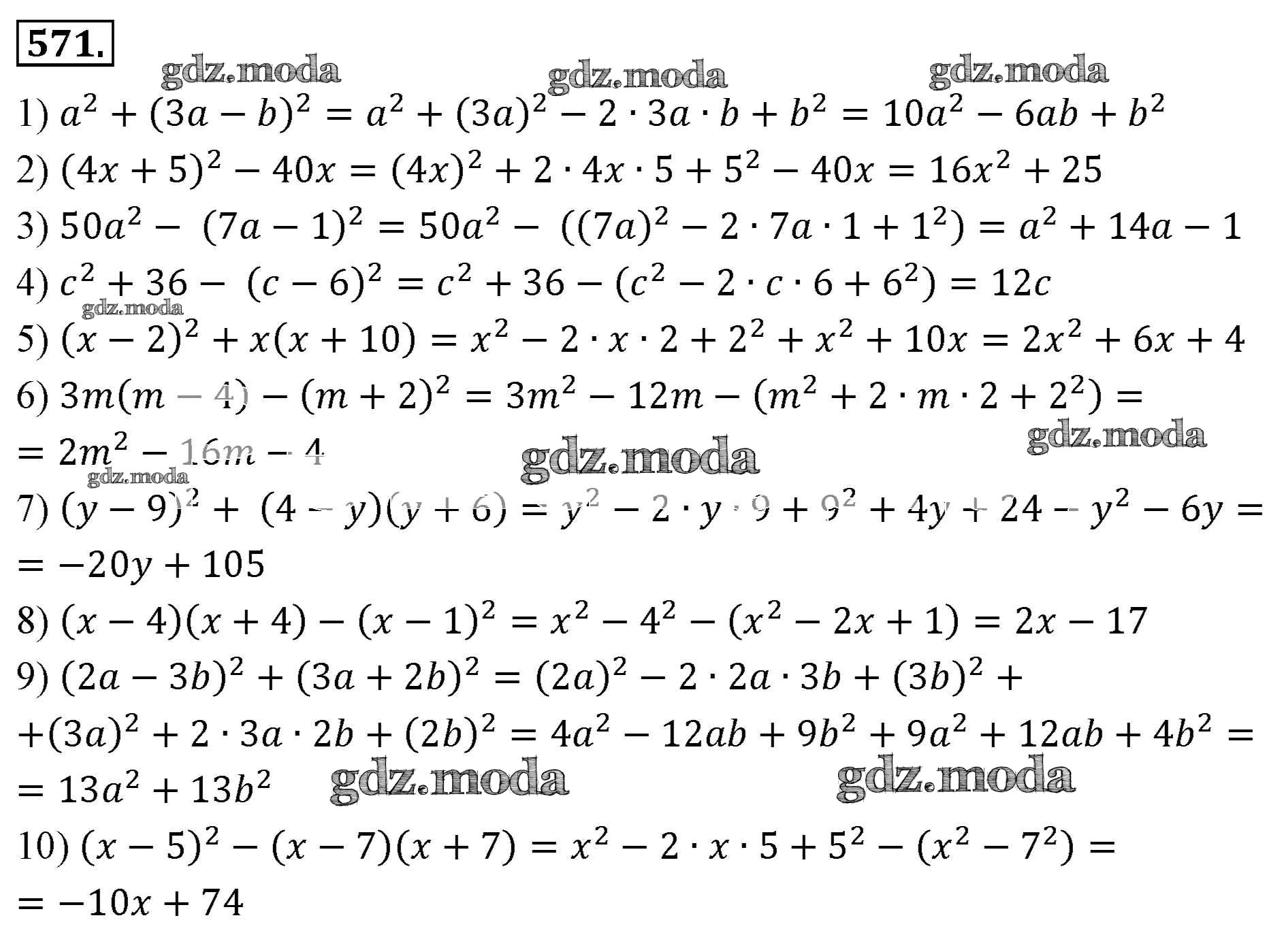
упражнение / 571

Решебник №1
упражнение / 571

Решебник №2
упражнение / 571

Решебник №3
упражнение / 571

Решебник №5
упражнение / 571

Все ГДЗ по Алгебре 7 класс Алгоритм успеха