ОТВЕТ на задание № 572 Учебник по Алгебре 7 класс Мерзляк Алгоритм успеха Базовый уровень
Условия
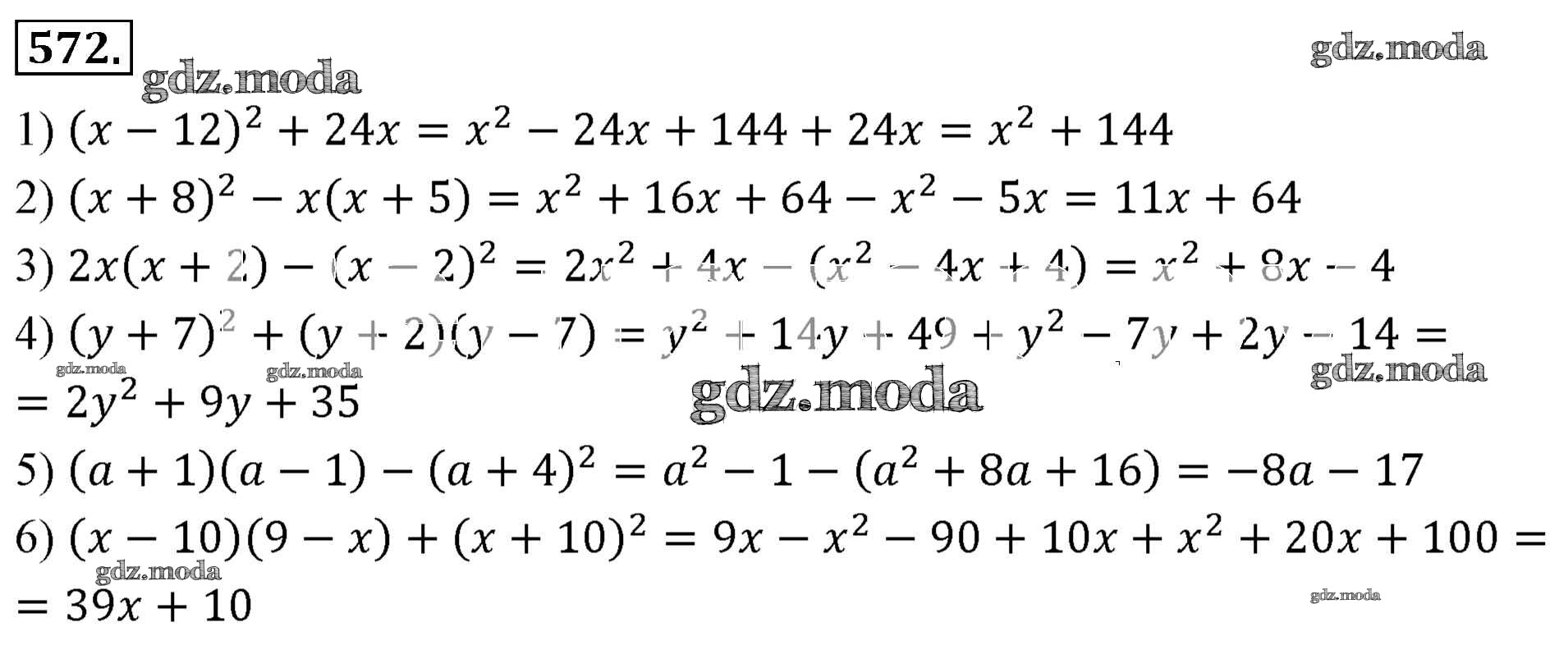
упражнение / 572

Решебник №1
упражнение / 572

Решебник №2
упражнение / 572

Решебник №3
упражнение / 572

Решебник №5
упражнение / 572

Все ГДЗ по Алгебре 7 класс Алгоритм успеха