ОТВЕТ на задание № 577 Учебник по Алгебре 7 класс Мерзляк Алгоритм успеха Базовый уровень
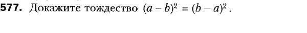
Условия
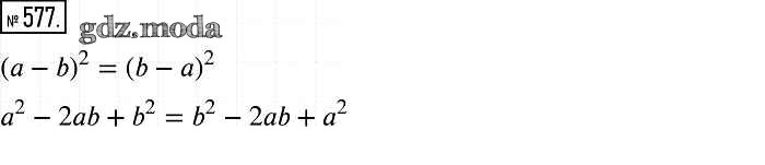
упражнение / 577

Решебник №1
упражнение / 577

Решебник №2
упражнение / 577

Решебник №3
упражнение / 577

Решебник №5
упражнение / 577

Все ГДЗ по Алгебре 7 класс Алгоритм успеха