ОТВЕТ на задание № 578 Учебник по Алгебре 7 класс Мерзляк Алгоритм успеха Базовый уровень
Условия
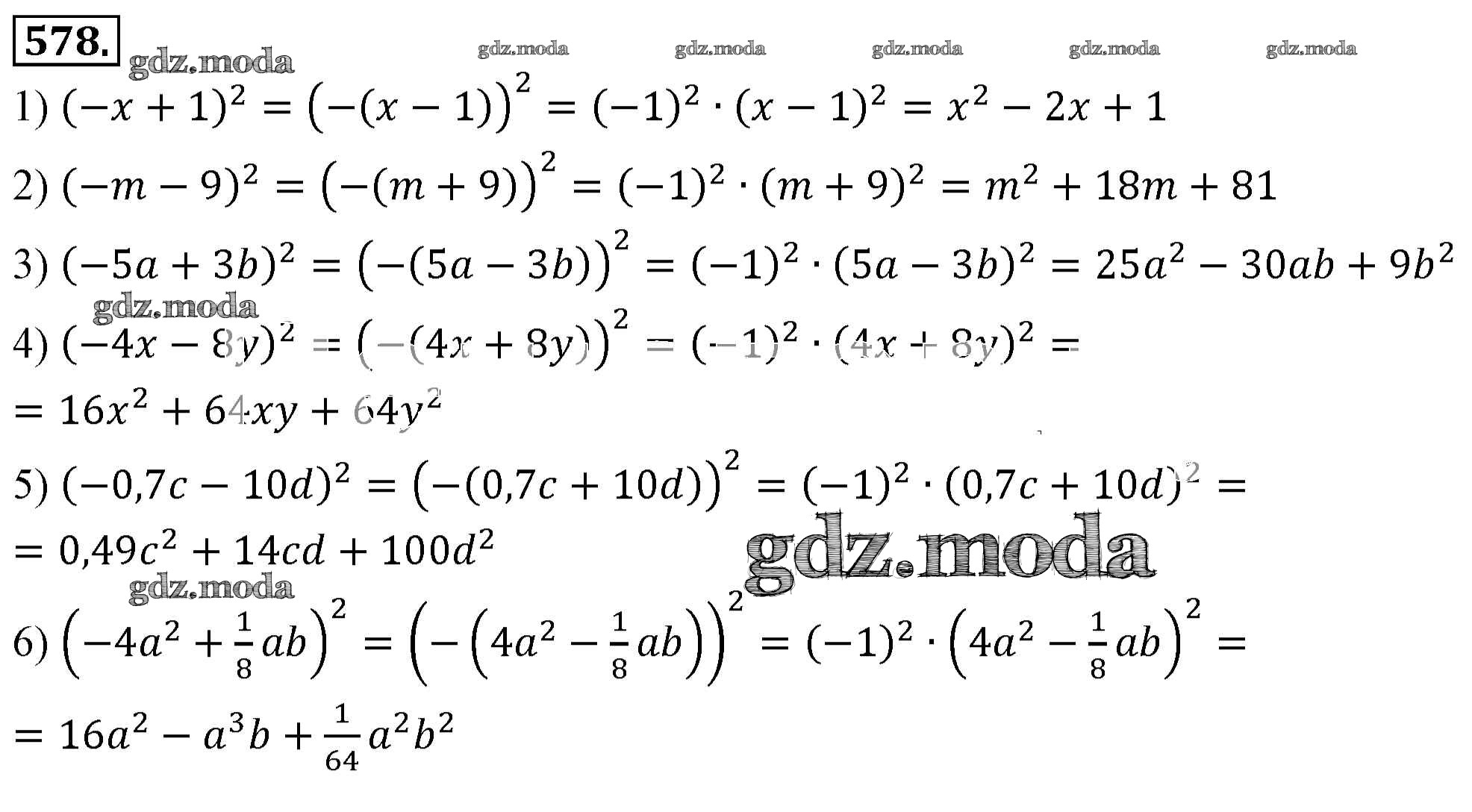
упражнение / 578

Решебник №1
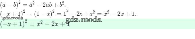
упражнение / 578

Решебник №2
упражнение / 578

Решебник №3
упражнение / 578

Решебник №5
упражнение / 578

Все ГДЗ по Алгебре 7 класс Алгоритм успеха