ОТВЕТ на задание № 58 Учебник по Алгебре 7 класс Мерзляк Алгоритм успеха Базовый уровень
Условия
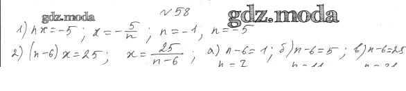
упражнение / 58

Решебник №1
упражнение / 58

Решебник №2
упражнение / 58

Решебник №3
упражнение / 58

Решебник №4
упражнение / 58

Решебник №5
упражнение / 58

Все ГДЗ по Алгебре 7 класс Алгоритм успеха