ОТВЕТ на задание № 59 Учебник по Алгебре 7 класс Мерзляк Алгоритм успеха Базовый уровень
Условия
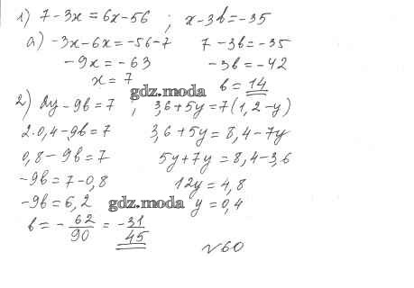
упражнение / 59

Решебник №1
упражнение / 59


Решебник №2
упражнение / 59

Решебник №3
упражнение / 59

Решебник №4
упражнение / 59

Решебник №5
упражнение / 59

Все ГДЗ по Алгебре 7 класс Алгоритм успеха