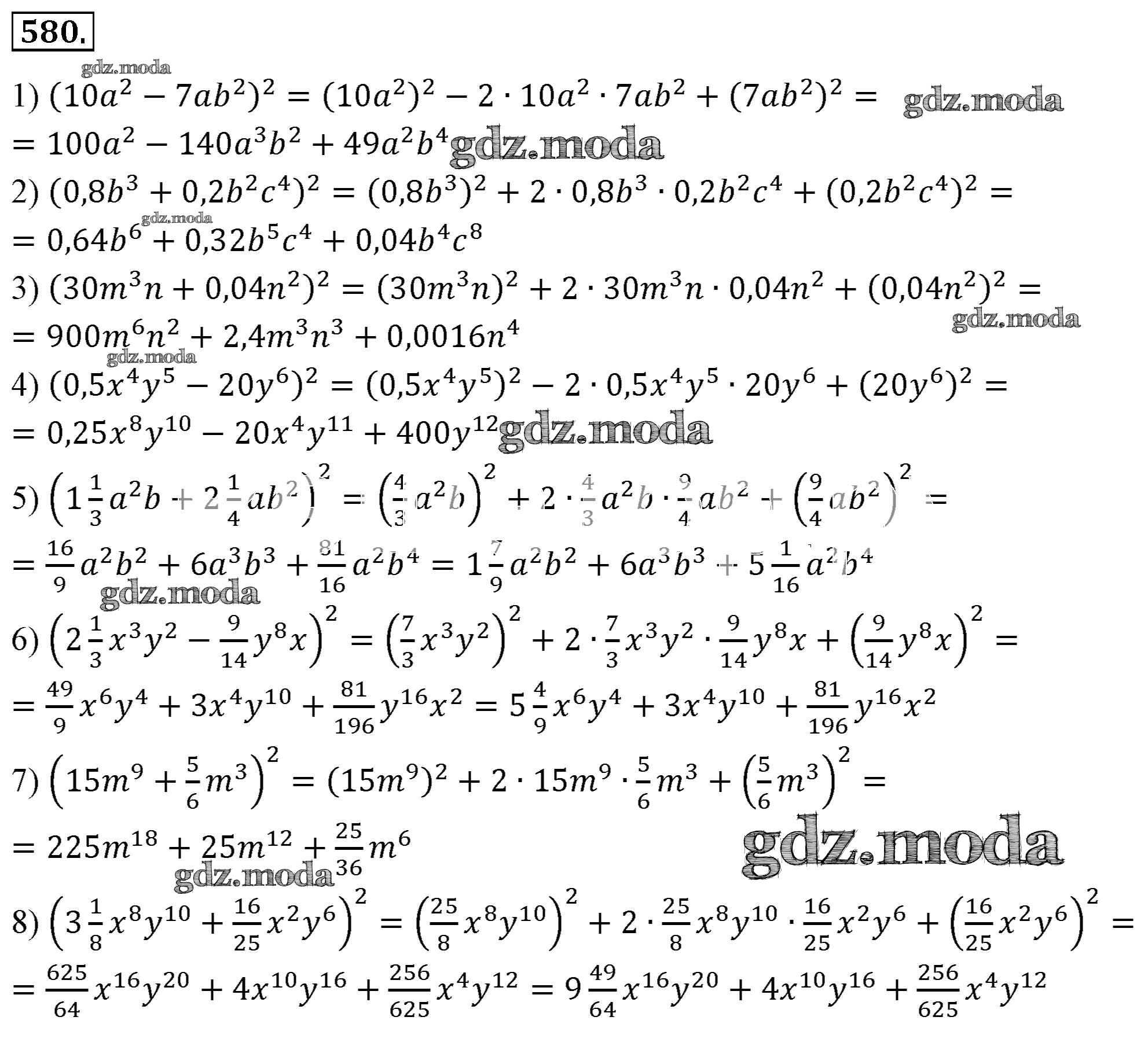
ОТВЕТ на задание № 580 Учебник по Алгебре 7 класс Мерзляк Алгоритм успеха Базовый уровень
Условия
упражнение / 580

Решебник №1
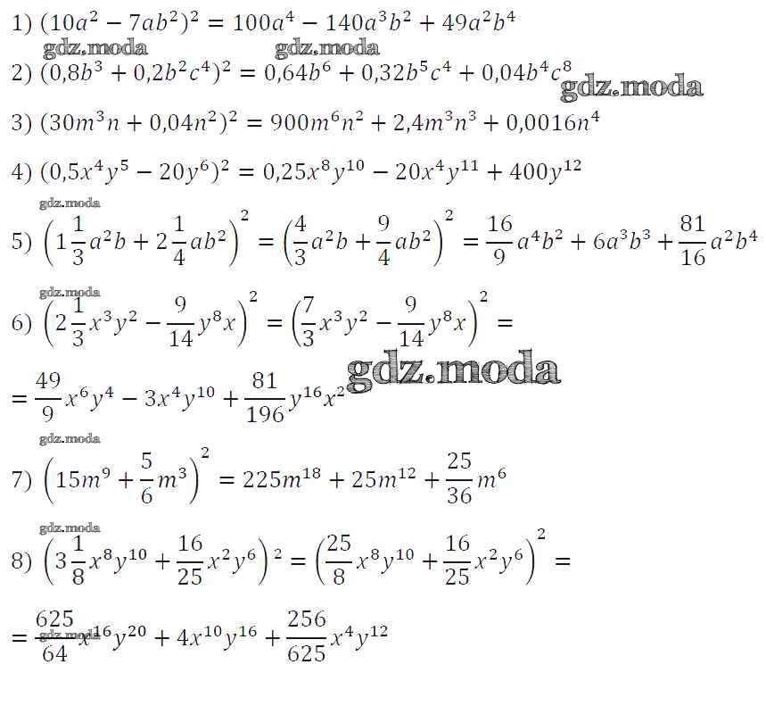
упражнение / 580


Решебник №2
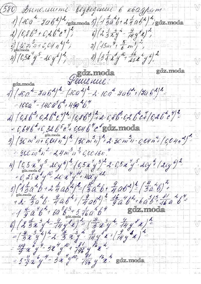
упражнение / 580

Решебник №3
упражнение / 580

Решебник №5
упражнение / 580

Все ГДЗ по Алгебре 7 класс Алгоритм успеха