ОТВЕТ на задание № 581 Учебник по Алгебре 7 класс Мерзляк Алгоритм успеха Базовый уровень
Условия
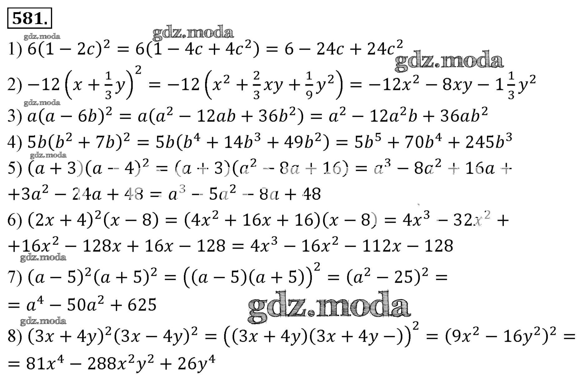
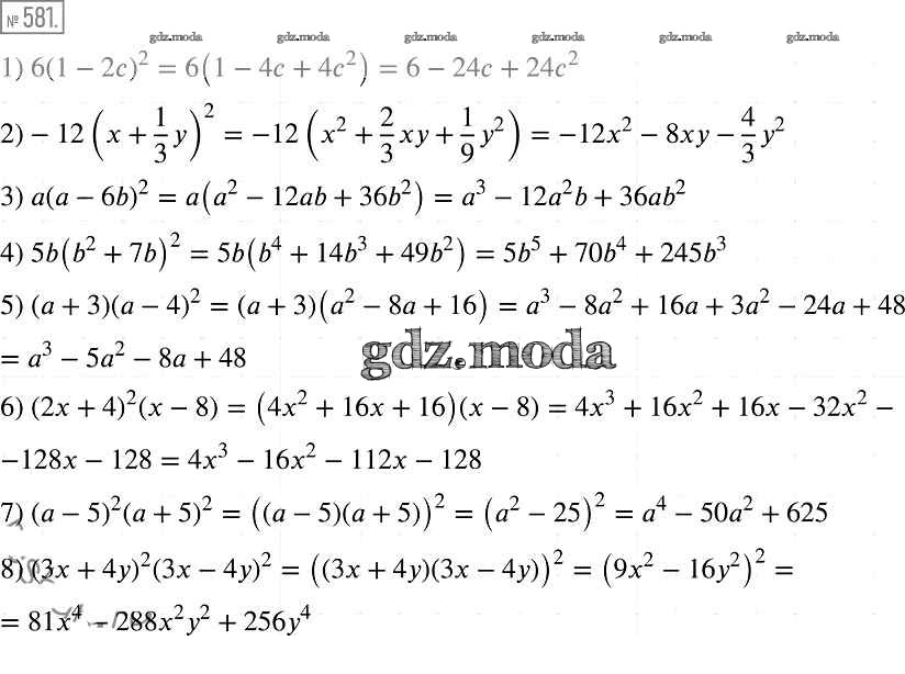
упражнение / 581

Решебник №1
упражнение / 581


Решебник №2
упражнение / 581

Решебник №3
упражнение / 581

Решебник №5
упражнение / 581

Все ГДЗ по Алгебре 7 класс Алгоритм успеха