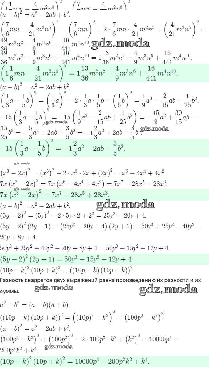
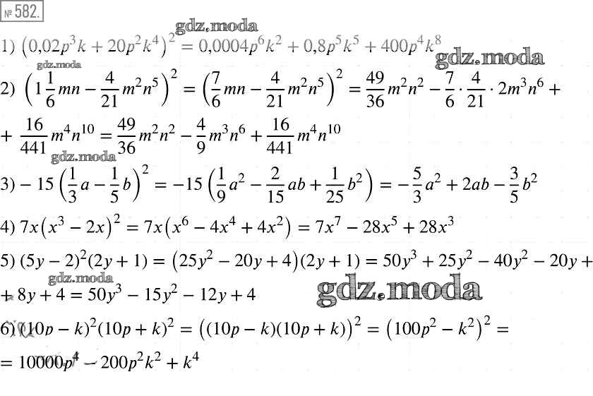
ОТВЕТ на задание № 582 Учебник по Алгебре 7 класс Мерзляк Алгоритм успеха Базовый уровень
Условия
упражнение / 582

Решебник №1
упражнение / 582


Решебник №2
упражнение / 582

Решебник №3
упражнение / 582

Решебник №5
упражнение / 582

Все ГДЗ по Алгебре 7 класс Алгоритм успеха