ОТВЕТ на задание № 583 Учебник по Алгебре 7 класс Мерзляк Алгоритм успеха Базовый уровень
Условия
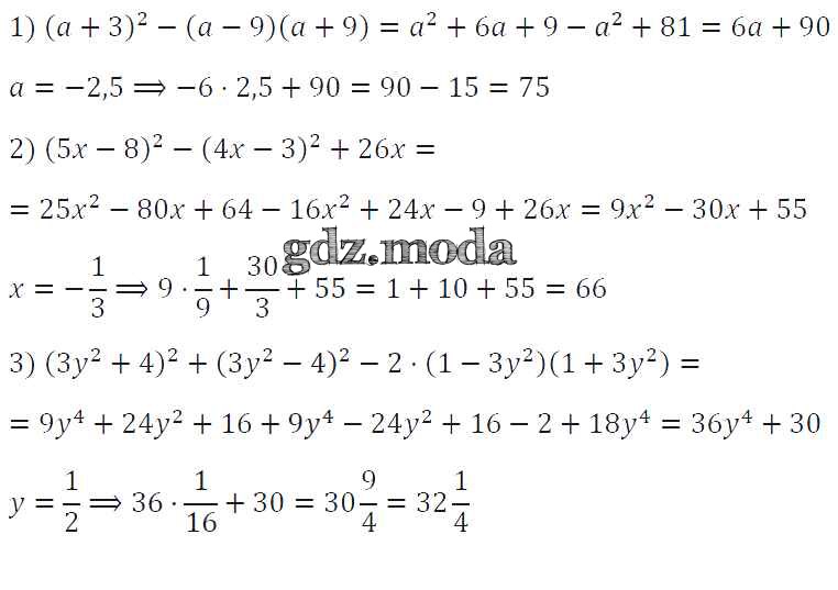
упражнение / 583

Решебник №1
упражнение / 583


Решебник №2
упражнение / 583

Решебник №3
упражнение / 583

Решебник №5
упражнение / 583

Все ГДЗ по Алгебре 7 класс Алгоритм успеха