ОТВЕТ на задание № 613 Учебник по Алгебре 7 класс Мерзляк Алгоритм успеха Базовый уровень
Условия
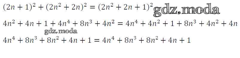
упражнение / 613

Решебник №1
упражнение / 613

Решебник №2
упражнение / 613

Решебник №3
упражнение / 613

Решебник №5
упражнение / 613

Все ГДЗ по Алгебре 7 класс Алгоритм успеха