ОТВЕТ на задание № 614 Учебник по Алгебре 7 класс Мерзляк Алгоритм успеха Базовый уровень
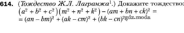
Условия
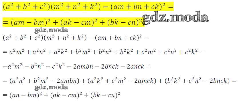
упражнение / 614

Решебник №1
упражнение / 614


Решебник №2
упражнение / 614

Решебник №3
упражнение / 614

Решебник №5
упражнение / 614

Все ГДЗ по Алгебре 7 класс Алгоритм успеха