ОТВЕТ на задание № 639 Учебник по Алгебре 7 класс Мерзляк Алгоритм успеха Базовый уровень
Условия
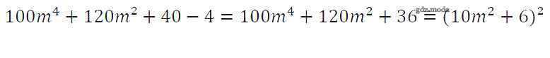
упражнение / 639

Решебник №1
упражнение / 639


Решебник №2
упражнение / 639

Решебник №3
упражнение / 639

Решебник №5
упражнение / 639

Все ГДЗ по Алгебре 7 класс Алгоритм успеха