ОТВЕТ на задание № 672 Учебник по Алгебре 7 класс Мерзляк Алгоритм успеха Базовый уровень
Условия
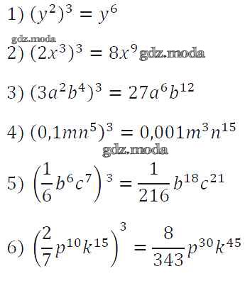
упражнение / 672

Решебник №1
упражнение / 672


Решебник №2
упражнение / 672

Решебник №5
упражнение / 672

Все ГДЗ по Алгебре 7 класс Алгоритм успеха