ОТВЕТ на задание № 673 Учебник по Алгебре 7 класс Мерзляк Алгоритм успеха Базовый уровень
Условия
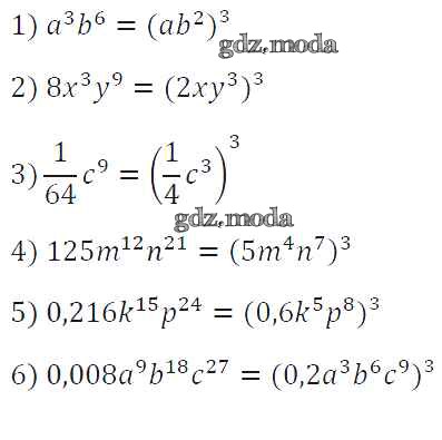
упражнение / 673

Решебник №1
упражнение / 673

Решебник №2
упражнение / 673

Решебник №5
упражнение / 673

Все ГДЗ по Алгебре 7 класс Алгоритм успеха