ОТВЕТ на задание № 677 Учебник по Алгебре 7 класс Мерзляк Алгоритм успеха Базовый уровень
Условия
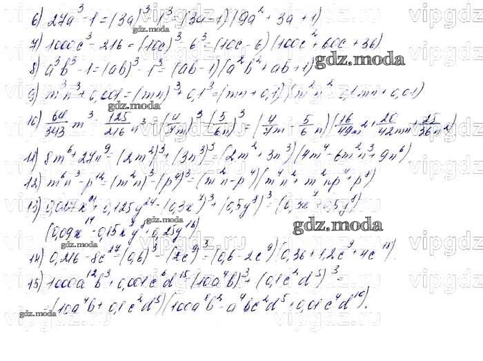
упражнение / 677

Решебник №1
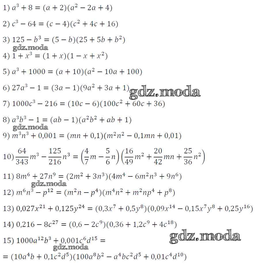
упражнение / 677


Решебник №2
упражнение / 677

Решебник №4
упражнение / 677

Решебник №5
упражнение / 677

Все ГДЗ по Алгебре 7 класс Алгоритм успеха