ОТВЕТ на задание № 678 Учебник по Алгебре 7 класс Мерзляк Алгоритм успеха Базовый уровень
Условия
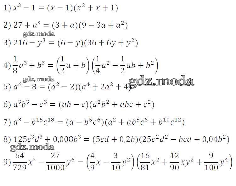
упражнение / 678

Решебник №1
упражнение / 678


Решебник №2
упражнение / 678

Решебник №4
упражнение / 678

Решебник №5
упражнение / 678

Все ГДЗ по Алгебре 7 класс Алгоритм успеха