ОТВЕТ на задание № 679 Учебник по Алгебре 7 класс Мерзляк Алгоритм успеха Базовый уровень
Условия
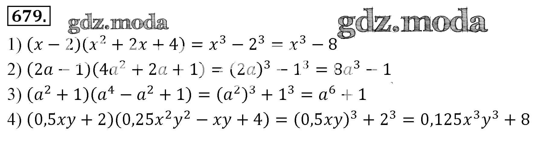
упражнение / 679

Решебник №1
упражнение / 679

Решебник №2
упражнение / 679

Решебник №4
упражнение / 679

Решебник №5
упражнение / 679

Все ГДЗ по Алгебре 7 класс Алгоритм успеха