ОТВЕТ на задание № 680 Учебник по Алгебре 7 класс Мерзляк Алгоритм успеха Базовый уровень
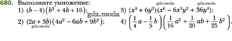
Условия
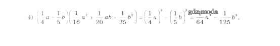
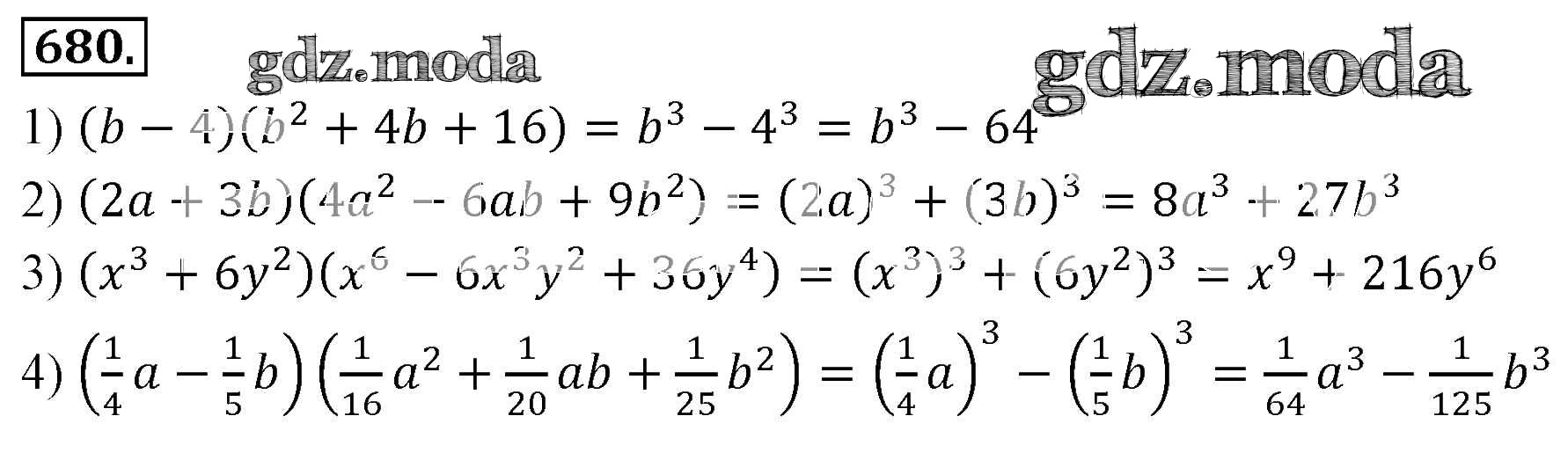
упражнение / 680

Решебник №1
упражнение / 680


Решебник №2
упражнение / 680

Решебник №4
упражнение / 680


Решебник №5
упражнение / 680

Все ГДЗ по Алгебре 7 класс Алгоритм успеха