ОТВЕТ на задание № 687 Учебник по Алгебре 7 класс Мерзляк Алгоритм успеха Базовый уровень
Условия
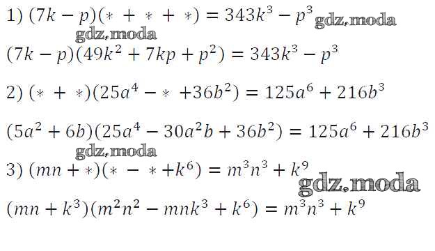
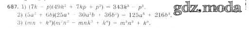
упражнение / 687

Решебник №1
упражнение / 687

Решебник №2
упражнение / 687

Решебник №4
упражнение / 687

Решебник №5
упражнение / 687

Все ГДЗ по Алгебре 7 класс Алгоритм успеха