ОТВЕТ на задание № 688 Учебник по Алгебре 7 класс Мерзляк Алгоритм успеха Базовый уровень
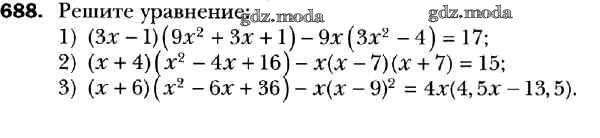
Условия
упражнение / 688

Решебник №1
упражнение / 688


Решебник №2
упражнение / 688

Решебник №4
упражнение / 688

Решебник №5
упражнение / 688

Все ГДЗ по Алгебре 7 класс Алгоритм успеха