ОТВЕТ на задание № 698 Учебник по Алгебре 7 класс Мерзляк Алгоритм успеха Базовый уровень
Условия
упражнение / 698

Решебник №1
упражнение / 698

Решебник №2
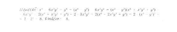
упражнение / 698

Решебник №4
упражнение / 698


Решебник №5
упражнение / 698

Все ГДЗ по Алгебре 7 класс Алгоритм успеха